INDICACION: Desarrollar Actividades de la página 217 y actividades de la página 232 numerales 11,12 y 13
GUIA DE TRABAJO PARA OCTAVO GRADO. SECCIÓN “A” Y “B”
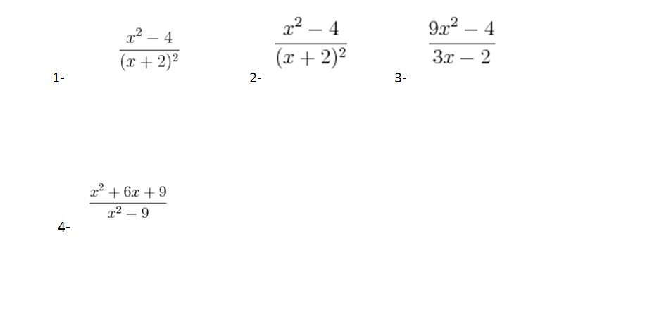
Indicaciones: Simplifica las siguientes fracciones algebraicas, utilizando factoreo según convenga:

Resolver:
5- Un señor compró un solar cuadrado en el centro del pueblo de 36 metros de lado
para hacerse una vivienda. Pagó $ 75 el metro cuadrado. ¿Cuánto dinero
ha invertido en el solar?
6- La superficie de un cuadrado es de 4.489 m2. Calcular la longitud de su lado.
7-Una familia ha decidido cambiar el suelo rectangular del comedor de 6.75 m. de largo
y 4.5 m. de ancho. Desean colocar losetas cuadradas de 25 cm. de lado. ¿Cuántas
Necesitarán?
8- Encuentre el área de la parte sombreada de la figura:

Lado del cuadrado =20 cm
9- Determine el área de un nonágono de 6 metros de lado y radio de 8.30 metros
10- Encuentra el mínimo común múltiplo de las siguientes expresiones: 72a2b , 32b2c,8a2c2
GUIA DE TRABAJO PARA NOVENO GRADO. SECCIÓN “A” Y “B”
Racionalizar, el denominador:

No hay comentarios:
Publicar un comentario